账号管理 DIY申请中心 我关注的院校 我的智能择校 退出
澳大利亚> 研究生 大学 中学
美国> 研究生 大学 中学
英国> 研究生 大学 中学
新 西 兰> 研究生 大学 中学
加拿大 欧洲 亚洲
院校排名 热门专业 申请条件 签证攻略 费用规划 全球院校
留学问答 顾问咨询
2020-07-22 本站原创 659
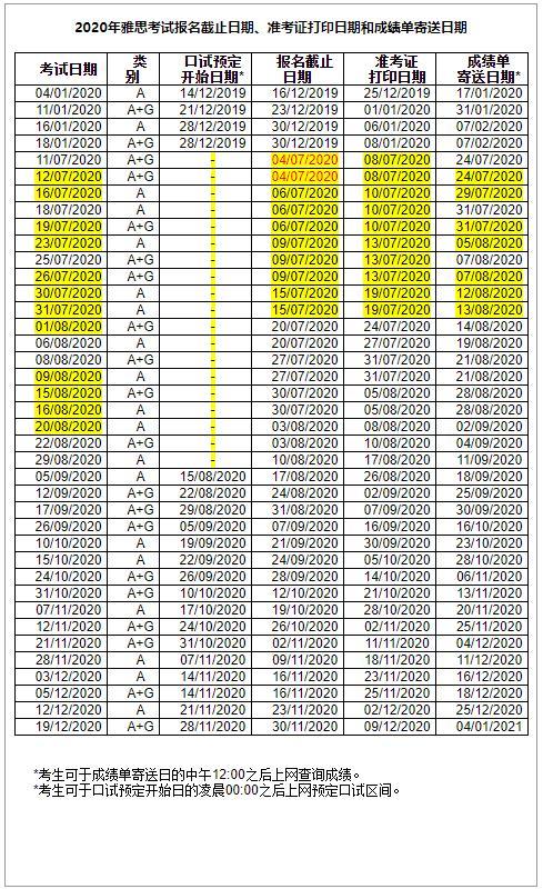
《2020年用于英国签证及移民的雅思考试口试预定开始日期、 考试报名截止日期、准考证打印日期和成绩单寄送日期》:
标签: 截止 2020年 日期 日期 日期 雅思考试 报名 成绩单 寄送 准考证 打印
顶
踩
新西兰地图,新西兰大...
新西兰DIY留学院校申...
新西兰长期短缺专业申...
新西兰留学费用一览表
Times Higher Education排名 QS大学排名 US News大学排名 麦考林大学排名 Times大学排名